最近的一项研究发现,食用精制碳水化合物可能会对异性评定的面部吸引力产生负面影响。这项研究强调了饮食选择的潜在社会后果,强调有必要进一步探索营养如何影响人们感知到的吸引力和其他社会特征。并且,无论短期还是长期食用高血糖食物,都与较低的吸引力得分有关,与身体质量指数(BMI)和年龄等其他变量无关。
![图片[1] - 食用精制碳水化合物会降低面部魅力 – 与体重指数或年龄无关 - 万事屋 | 生活·动漫·娱乐综合社区-银魂同好聚集地](https://www.rei3.com/wp-content/uploads/2024/03/c44bcd0455e34fbaa8881ffab8a7e083noop.image_.webp)
最近的一项研究发现,个人摄入的精制碳水化合物量与异性志愿者对其面部吸引力的评价之间存在统计学联系。这项由法国蒙彼利埃大学的 Visine 及其团队进行的研究发表在开放获取期刊《PLOS ONE》上。
西方饮食中含有大量精制碳水化合物–经过加工的食品通常会去掉其大部分营养价值,如白面粉、食糖和许多包装零食中的配料。先前的研究表明,精制碳水化合物摄入量的增加与肥胖、II 型糖尿病和心血管疾病等不良健康影响有关。初步证据表明,摄入大量精制碳水化合物还可能影响非医学特征,如一个人的吸引力。为了进一步探讨这种可能性,Visine 及其同事进行了一项涉及 104 名法国成年男女的研究。
![图片[2] - 食用精制碳水化合物会降低面部魅力 – 与体重指数或年龄无关 - 万事屋 | 生活·动漫·娱乐综合社区-银魂同好聚集地](https://www.rei3.com/wp-content/uploads/2024/03/7797361ae903e2df450050adad91a465noop.image_.webp)
研究人员给一些参与者提供了高血糖早餐–其中含有已知能提高血糖水平的精制碳水化合物,而另一些参与者则接受了低血糖早餐。参与者还填写了一份问卷,以评估他们食用精制碳水化合物的典型习惯。随后,还要求其他异性恋志愿者对异性参与者的面部吸引力进行评分,评分结果将在提供早餐两小时后拍摄的照片中显示。这项研究只包括祖父母四人都是欧洲人的参与者和志愿者,以减少文化异质性。
![图片[3] - 食用精制碳水化合物会降低面部魅力 – 与体重指数或年龄无关 - 万事屋 | 生活·动漫·娱乐综合社区-银魂同好聚集地](https://www.rei3.com/wp-content/uploads/2024/03/33d19d2357eef78e118566a60f85f1d5noop.image_.webp)
![图片[4] - 食用精制碳水化合物会降低面部魅力 – 与体重指数或年龄无关 - 万事屋 | 生活·动漫·娱乐综合社区-银魂同好聚集地](https://www.rei3.com/wp-content/uploads/2024/03/f21472ccc4a6623a4ece9f9b44343c26noop.image_.webp)
![图片[5] - 食用精制碳水化合物会降低面部魅力 – 与体重指数或年龄无关 - 万事屋 | 生活·动漫·娱乐综合社区-银魂同好聚集地](https://www.rei3.com/wp-content/uploads/2024/03/90d614808e2cb09f993d3531d8f9849cnoop.image_.webp)
![图片[6] - 食用精制碳水化合物会降低面部魅力 – 与体重指数或年龄无关 - 万事屋 | 生活·动漫·娱乐综合社区-银魂同好聚集地](https://www.rei3.com/wp-content/uploads/2024/03/433117c9cfc08807801939185c7c1903noop.image_.webp)
![图片[7] - 食用精制碳水化合物会降低面部魅力 – 与体重指数或年龄无关 - 万事屋 | 生活·动漫·娱乐综合社区-银魂同好聚集地](https://www.rei3.com/wp-content/uploads/2024/03/19f81aba0dbcbe5c2c22ae925b453ccanoop.image_.webp)
![图片[8] - 食用精制碳水化合物会降低面部魅力 – 与体重指数或年龄无关 - 万事屋 | 生活·动漫·娱乐综合社区-银魂同好聚集地](https://www.rei3.com/wp-content/uploads/2024/03/abde9f4d4a6721b06d02daa611151f99noop.image_.webp)
![图片[9] - 食用精制碳水化合物会降低面部魅力 – 与体重指数或年龄无关 - 万事屋 | 生活·动漫·娱乐综合社区-银魂同好聚集地](https://www.rei3.com/wp-content/uploads/2024/03/975dd1c4068c0e906478f61583076a5cnoop.image_.webp)
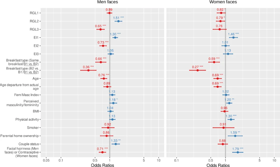
统计分析显示,食用高血糖早餐与男性和女性随后较低的面部吸引力评分有关。在早餐和零食中长期食用精制碳水化合物也与较低的吸引力评分有关,尽管在这些时间食用高能量食物与较高的吸引力评分有关。
研究人员注意到了一些性别差异:具体到男性下午吃零食的情况,高能量摄入反而与较低的吸引力评分有关,而高血糖摄入则与较高的吸引力评分有关。
在统计了其他可能影响吸引力的因素(如实际年龄、感知年龄、体重指数、吸烟习惯和面部毛发)后,所有结果都保持不变。要加深了解精制碳水化合物与吸引力和其他社会特征之间的确切联系,还需要进一步的研究,包括更大和更多样化的样本量。
作者补充说:”面部吸引力是社会交往的一个重要因素,它似乎会受到男性和女性即时和长期精制碳水化合物摄入量的影响”。
编译自:ScitechDaily
文是楼上发的,图是楼上帖的,寻仇请认准对象。
有些是原创,有些图文皆转载,如有侵权,请联系告知,必删。
如果不爽,请怼作者,吐槽君和你们是一伙的!请勿伤及无辜...
本站所有原创帖均可复制、搬运,开网站就是为了大家一起乐乐,不在乎版权。
对了,本站小水管,垃圾服务器,请不要采集,吐槽君纯属用爱发电,经不起折腾。


























暂无评论内容